گاما رو نصب کن!

{{ number }}
اعلان ها
اعلان جدیدی وجود ندارد!
کاربر جدید

جستجو

پربازدیدها: #{{ tag.title }}

جستجوهای پرتکرار

میتونی لایو بذاری!

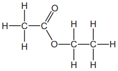
The diagram shows the structure of a molecule of ethyl ethanoate.

What is the molecular formula of a molecule of ethyl ethanoate?

1 ) 

CHO

2 ) 

C$_4$H$_8$O$_2$

3 ) 

C$_4$(H$_2$)$_2$(O$_2$)

4 ) 

C$_2$H$_4$O

تحلیل ویدئویی تست

منتظریم اولین نفر تحلیلش کنه!