گاما رو نصب کن!

{{ number }}
اعلان ها
اعلان جدیدی وجود ندارد!
کاربر جدید

جستجو

پربازدیدها: #{{ tag.title }}

جستجوهای پرتکرار

میتونی لایو بذاری!

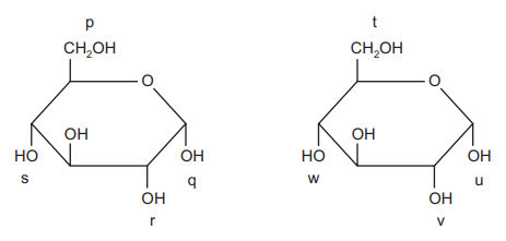
The diagram shows two molecules of glucose. Four possible bonding positions are labelled p, q, r, and s, and t, u, v, w. 

When these two molecules condense to form glycogen, where could bonds form? 

1 ) 

p - u or p - v 

2 ) 

p - u or q - w 

3 ) 

p - v or q - w 

4 ) 

p - w or v - w

تحلیل ویدئویی تست

منتظریم اولین نفر تحلیلش کنه!