گاما رو نصب کن!

{{ number }}
اعلان ها
اعلان جدیدی وجود ندارد!
کاربر جدید

جستجو

پربازدیدها: #{{ tag.title }}

جستجوهای پرتکرار

میتونی لایو بذاری!

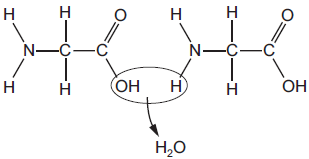
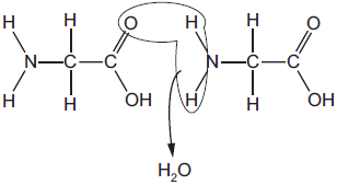
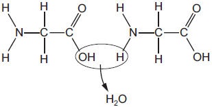
Which diagram shows the formation of a peptide bond?

1 ) 

2 ) 

3 ) 

4 ) 

تحلیل ویدئویی تست

منتظریم اولین نفر تحلیلش کنه!