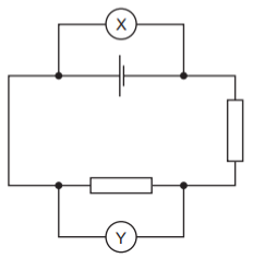
The circuit shown includes two meters X and Y, connected correctly.
Which row gives the unit of the quantity measured by X and the unit of the quantity measured by Y?

1 )
meter X:ampere / meter Y:ampere
2 )
meter X:ampere / meter Y:volt
3 )
meter X:volt / meter Y:ampere
meter X:volt / meter Y:volt
تحلیل ویدئویی تست
منتظریم اولین نفر تحلیلش کنه!