گاما رو نصب کن!

{{ number }}
اعلان ها
اعلان جدیدی وجود ندارد!
کاربر جدید

جستجو

پربازدیدها: #{{ tag.title }}

جستجوهای پرتکرار

میتونی لایو بذاری!

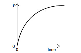
The graph relates to the motion of a falling body Which is a correct description of the graph?

1 ) 

A y is distance and air resistance is negligible

2 ) 

y is distance and air resistance is not negligible

3 ) 

y is speed and air resistance is negligible

4 )   y is speed and air resistance is not negligible

تحلیل ویدئویی تست

منتظریم اولین نفر تحلیلش کنه!