گاما رو نصب کن!

{{ number }}
اعلان ها
اعلان جدیدی وجود ندارد!
کاربر جدید

جستجو

پربازدیدها: #{{ tag.title }}

جستجوهای پرتکرار

میتونی لایو بذاری!

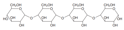
This molecule is a polymer of reducing sugars.  

Which of the following procedures could be carried out in order to test for the presence of the reducing sugars in this molecule?

1 add hydrolytic enzyme and then heat with Benedict’s reagent

2 dissolve in water, neutralise and then heat with Benedict’s reagent

3 boil with ethanol and then heat with Benedict’s reagent

4 boil with hydrochloric acid, neutralise and then heat with Benedict’s reagent  

1 ) 

1 and 2

2 ) 

1 and 4  

3 ) 

1, 2 and 4 

4 ) 

1, 2, 3 and 4

تحلیل ویدئویی تست

منتظریم اولین نفر تحلیلش کنه!