گاما رو نصب کن!

{{ number }}
اعلان ها
اعلان جدیدی وجود ندارد!
کاربر جدید

جستجو

پربازدیدها: #{{ tag.title }}

جستجوهای پرتکرار

میتونی لایو بذاری!

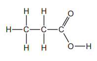
Which structure represents a compound that dissolves in water to form an acidic solution?

1 ) 

2 ) 

3 ) 

4 ) 

تحلیل ویدئویی تست

منتظریم اولین نفر تحلیلش کنه!