گاما رو نصب کن!

{{ number }}
اعلان ها
اعلان جدیدی وجود ندارد!
کاربر جدید

جستجو

پربازدیدها: #{{ tag.title }}

جستجوهای پرتکرار

میتونی لایو بذاری!
  فرم معتبر نیست.

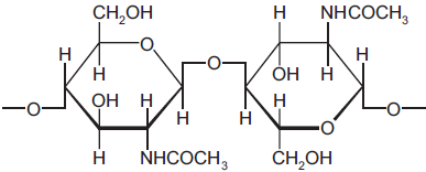
Chitin is a structural polysaccharide found in the hard, outer shells of animals such as crabs.

Chitin is made of chains of amino sugars that contain NH groups.

The diagram shows two sugars in the chain of a chitin molecule.

Which polysaccharide is most like chitin?

1 ) 

amylopectin

2 ) 

amylose

3 ) 

cellulose

4 ) 

glycogen

تحلیل ویدئویی تست

منتظریم اولین نفر تحلیلش کنه!