گاما رو نصب کن!

{{ number }}
اعلان ها
اعلان جدیدی وجود ندارد!
کاربر جدید

جستجو

پربازدیدها: #{{ tag.title }}

جستجوهای پرتکرار

میتونی لایو بذاری!
  فرم معتبر نیست.

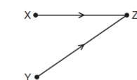
Microwaves are emitted from two sources at points X and Y. The two waves meet at point Z. The diagram shows the paths of the two waves. 

The waves emitted from points X and Y are coherent.

 What is a direct consequence of the two waves being coherent? 

1 ) 

There is a constant difference in the path lengths YZ and XZ. 

2 ) 

There is a constant difference in phase between the two waves at Z. 

3 ) 

There is a constant non-zero difference in frequency of the two waves at Z. 

4 ) 

There is a constant non-zero difference in amplitude of the two waves at Z. 

تحلیل ویدئویی تست

منتظریم اولین نفر تحلیلش کنه!