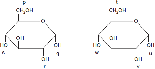
The diagram shows two molecules of glucose. Four possible bonding positions are labelled p, q, r, and s, and t, u, v, w.
When these two molecules condense during the formation of a glycogen molecule, where could bonds form?

p – u or q – w
2 )
q – w or p – v
3 )
r – t or q – u
4 )
s – w or r – v
تحلیل ویدئویی تست
منتظریم اولین نفر تحلیلش کنه!