گاما رو نصب کن!

{{ number }}
اعلان ها
اعلان جدیدی وجود ندارد!
کاربر جدید

جستجو

پربازدیدها: #{{ tag.title }}

جستجوهای پرتکرار

میتونی لایو بذاری!

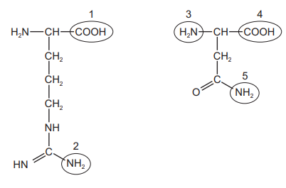
The diagrams show the structures of two amino acids, each of which has more than one amine $\left( {-N{H_2}} \right)$ group. 

A peptide bond is formed between the two amino acids.

Which groups form the peptide bond? 

1 ) 

1 and 3 

2 ) 

1 and 5

3 ) 

2 and 4 

4 ) 

2 and 5

تحلیل ویدئویی تست

منتظریم اولین نفر تحلیلش کنه!