گاما رو نصب کن!

{{ number }}
اعلان ها
اعلان جدیدی وجود ندارد!
کاربر جدید

جستجو

پربازدیدها: #{{ tag.title }}

جستجوهای پرتکرار

میتونی لایو بذاری!

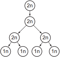
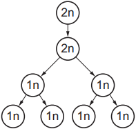
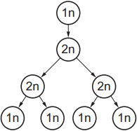
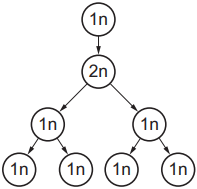
Meiosis is a type of cell division that is needed to make gametes.

Which diagram shows meiosis?

n = number of chromosomes

1 ) 

2 ) 

3 ) 

4 ) 

تحلیل ویدئویی تست

منتظریم اولین نفر تحلیلش کنه!